Präzisionssonnenuhr Precision Sundial Cadran solaire de précision
AGB
de
Einzelanfertigung Jede Sonnenuhr ist ein Einzelstück. Die Zifferblätter werden für jeden Aufstellungsort neu berechnet. Die Beschriftung ist in verschiedenen Sprachen möglich.
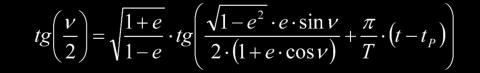
Genauigkeit Eine 3D-Berechnung, ohne die Verwendung vereinfachter Formeln, ermöglicht eine bisher unerreichte Genauigkeit. Die Linien auf den Zifferblättern werden mit einer maximalen Abweichung von 1 Sekunde berechnet. Der feine Schatten des Zeigers auf dem Zifferblatt erlaubt eine Ablesegenauigkeit von ca. 30 Sekunden.
Lieferzeit Die Lieferzeit einer Präzisionssonnenuhr beträgt sechs Wochen ab dem Bestelldatum und erfolgter Anzahlung. Besteht die Lieferung nur aus der Berechnung der Zifferblätter (als Datei), so beträgt die Lieferzeit eine Woche.
Preise Präzisionssonnenuhr: 1750 € Eine Standard-Sonnenuhr für die freie Aufstellung mit Fuß und einem Zifferblattdurchmesser von 30 cm. Zifferblattberechnung: 60 € Die Berechnung von Zifferblättern als Vektor- Datei (DXF, DWG, SVG, PDF, ... ) in allen Größen und Formen für Ihre Hausfassade. (Alle Preise sind zuzüglich Versandkosten.)
Sonnenaufgang und Sonnenuntergang Die Sonne im Zenit Winter- und Sommersonnenwende Tagundnachtgleiche Monate Uhrzeit
1. Halbjahr
2. Halbjahr
Ekliptik
Sonne
Erde
Frühlingsanfang Sommersonnenwende Herbstanfang Wintersonnenwende Aphel Perihel Sonnenuhr Äquator Nullmeridian
Präzisionssonnenuhr Precision Sundial Cadran solaire de précision
AGB
de
Einzelanfertigung Jede Sonnenuhr ist ein Einzelstück. Die Zifferblätter werden für jeden Aufstellungsort neu berechnet. Die Beschriftung ist in verschiedenen Sprachen möglich.
Genauigkeit Eine 3D-Berechnung, ohne die Verwendung vereinfachter Formeln, ermöglicht eine bisher unerreichte Genauigkeit. Die Linien auf den Zifferblättern werden mit einer maximalen Abweichung von 1 Sekunde berechnet. Der feine Schatten des Zeigers auf dem Zifferblatt erlaubt eine Ablesegenauigkeit von ca. 30 Sekunden.
Lieferzeit Die Lieferzeit einer Präzisionssonnenuhr beträgt sechs Wochen ab dem Bestelldatum und erfolgter Anzahlung. Besteht die Lieferung nur aus der Berechnung der Zifferblätter (als Datei), so beträgt die Lieferzeit eine Woche.
Preise Präzisionssonnenuhr: 1750 € Eine Standard-Sonnenuhr für die freie Aufstellung mit Fuß und einem Zifferblattdurchmesser von 30 cm. Zifferblattberechnung: 60 € Die Berechnung von Zifferblättern als Vektor- Datei (DXF, DWG, SVG, PDF, ... ) in allen Größen und Formen für Ihre Hausfassade. (Alle Preise sind zuzüglich Versandkosten.)
Sonnenaufgang und Sonnenuntergang Die Sonne im Zenit Winter- und Sommersonnenwende Tagundnachtgleiche Monate Uhrzeit
1. Halbjahr
2. Halbjahr
Ekliptik
Sonne
Erde
Frühlingsanfang Sommersonnenwende Herbstanfang Wintersonnenwende Aphel Perihel Sonnenuhr Nullmeridian Äquator
Präzisionssonnenuhr Precision Sundial Cadran solaire de précision
AGB
de
Einzelanfertigung Jede Sonnenuhr ist ein Einzelstück. Die Zifferblätter werden für jeden Aufstellungsort neu berechnet. Die Beschriftung ist in verschiedenen Sprachen möglich.
Genauigkeit Eine 3D-Berechnung, ohne die Verwendung vereinfachter Formeln, ermöglicht eine bisher unerreichte Genauigkeit. Die Linien auf den Zifferblättern werden mit einer maximalen Abweichung von 1 Sekunde berechnet. Der feine Schatten des Zeigers auf dem Zifferblatt erlaubt eine Ablesegenauigkeit von ca. 30 Sekunden.
Lieferzeit Die Lieferzeit einer Präzisionssonnenuhr beträgt sechs Wochen ab dem Bestelldatum und erfolgter Anzahlung. Besteht die Lieferung nur aus der Berechnung der Zifferblätter (als Datei), so beträgt die Lieferzeit eine Woche.
Preise Präzisionssonnenuhr: 1750 € Eine Standard-Sonnenuhr für die freie Aufstellung mit Fuß und einem Zifferblattdurchmesser von 30 cm. Zifferblattberechnung: 60 € Die Berechnung von Zifferblättern als Vektor- Datei (DXF, DWG, SVG, PDF, ... ) in allen Größen und Formen für Ihre Hausfassade. (Alle Preise sind zuzüglich Versandkosten.)
Sonnenaufgang und Sonnenuntergang Die Sonne im Zenit Winter- und Sommersonnenwende Tagundnachtgleiche Monate Uhrzeit
1. Halbjahr
2. Halbjahr
Ekliptik
Sonne
Erde
Frühlingsanfang Sommersonnenwende Herbstanfang Wintersonnenwende Aphel Perihel Sonnenuhr Nullmeridian Äquator