Präzisionssonnenuhr Precision Sundial Cadran solaire de précision
CGV
it
Produzione su misura Ogni meridiana è un pezzo unico. I quadranti vengono ricalcolati per ogni luogo di installazione. Le iscrizioni possono essere realizzate in diverse lingue.
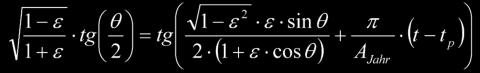
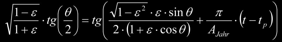
Precisione Un calcolo 3D, senza l’utilizzo di formule semplificate, permette un livello di precisione finora mai raggiunto. Le linee dei quadranti vengono calcolate con uno scarto massimo di 1 secondo. La sottile ombra della lancetta sul quadrante consente una precisione di lettura di circa 30 secondi.
Tempi di consegna Il tempo di consegna di una meridiana di precisione è di sei settimane dalla data dell’ordine e dopo il versamento dell’acconto. Se la fornitura consiste unicamente nel calcolo dei quadranti (in formato file), il tempo di consegna è di una settimana.
Prezzi Meridiana di precisione: Una meridiana standard per installazione libera, con supporto e un quadrante di 30 cm di diametro. 1750 € (IVA esclusa) Calcolo dei quadranti: Il calcolo dei quadranti come file vettoriale (DXF, DWG, SVG, PDF, …) in tutte le dimensioni e forme per la facciata della vostra casa. 60 € (IVA esclusa) (Tutti i prezzi sono al netto delle spese di spedizione.)
Alba e tramonto Il sole allo zenit Solstizio d’inverno e solstizio d’estate Equinozio di primavera e autunno Mesi Ora
1° semestre
2° semestre
Eclittica
Sole
Terra
Inizio della primavera Solstizio d’estate Inizio dell’autunno Solstizio d’inverno Aphelion Perielio Meridiana Equatore Meridiano fondamentale
Präzisionssonnenuhr Precision Sundial Cadran solaire de précision
CGV
it
Produzione su misura Ogni meridiana è un pezzo unico. I quadranti vengono ricalcolati per ogni luogo di installazione. Le iscrizioni possono essere realizzate in diverse lingue.
Precisione Un calcolo 3D, senza l’utilizzo di formule semplificate, permette un livello di precisione finora mai raggiunto. Le linee dei quadranti vengono calcolate con uno scarto massimo di 1 secondo. La sottile ombra della lancetta sul quadrante consente una precisione di lettura di circa 30 secondi.
Tempi di consegna Il tempo di consegna di una meridiana di precisione è di sei settimane dalla data dell’ordine e dopo il versamento dell’acconto. Se la fornitura consiste unicamente nel calcolo dei quadranti (in formato file), il tempo di consegna è di una settimana.
Prezzi Meridiana di precisione: Una meridiana standard per installazione libera, con supporto e un quadrante di 30 cm di diametro. 1750 € (IVA esclusa) Calcolo dei quadranti: Il calcolo dei quadranti come file vettoriale (DXF, DWG, SVG, PDF, …) in tutte le dimensioni e forme per la facciata della vostra casa. 60 € (IVA esclusa) (Tutti i prezzi sono al netto delle spese di spedizione.)
Alba e tramonto Il sole allo zenit Solstizio d’inverno e solstizio d’estate Equinozio di primavera e autunno Mesi Ora
1° semestre
2° semestre
Eclittica
Sole
Terra
Inizio della primavera Solstizio d’estate Inizio dell’autunno Solstizio d’inverno Aphelion Perielio Meridiana Meridiano fondamentale Equatore
Präzisionssonnenuhr Precision Sundial Cadran solaire de précision
CGV
it
Produzione su misura Ogni meridiana è un pezzo unico. I quadranti vengono ricalcolati per ogni luogo di installazione. Le iscrizioni possono essere realizzate in diverse lingue.
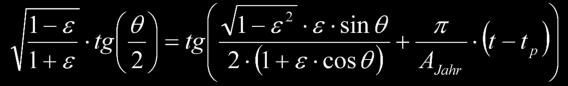
Precisione Un calcolo 3D, senza l’utilizzo di formule semplificate, permette un livello di precisione finora mai raggiunto. Le linee dei quadranti vengono calcolate con uno scarto massimo di 1 secondo. La sottile ombra della lancetta sul quadrante consente una precisione di lettura di circa 30 secondi.
Tempi di consegna Il tempo di consegna di una meridiana di precisione è di sei settimane dalla data dell’ordine e dopo il versamento dell’acconto. Se la fornitura consiste unicamente nel calcolo dei quadranti (in formato file), il tempo di consegna è di una settimana.
Prezzi Meridiana di precisione: Una meridiana standard per installazione libera, con supporto e un quadrante di 30 cm di diametro. 1750 € (IVA esclusa) Calcolo dei quadranti: Il calcolo dei quadranti come file vettoriale (DXF, DWG, SVG, PDF, …) in tutte le dimensioni e forme per la facciata della vostra casa. 60 € (IVA esclusa) (Tutti i prezzi sono al netto delle spese di spedizione.)
Alba e tramonto Il sole allo zenit Solstizio d’inverno e solstizio d’estate Equinozio di primavera e autunno Mesi Ora
1° semestre
2° semestre
Eclittica
Sole
Terra
Inizio della primavera Solstizio d’estate Inizio dell’autunno Solstizio d’inverno Aphelion Perielio Meridiana Meridiano fondamentale Equatore